肇庆联亿钢结构工程有限公司
肇庆钢结构-云浮钢结构-佛山钢结构-广州钢结构-东莞钢结构-江门钢结构-广东钢结构工程设计、制造、安装集成商。
全国服务热线:
18938314188

Zhaoqing Lianyi Steel Structure Engineering Co. Ltd


X
新闻中心
/
新闻中心
钢吊车梁稳定设计的合理方法
来源: | 作者:钢铁搬运工 | 发布时间: 2021-09-01 | 525 次浏览 | 分享到:
对于吊车梁,GB 50017—2017《钢结构设计标准》的设计方法中存在两个问题:1)按照GB 50017—2017的方法计算的腹板承压应力仍然比精确有限元值偏小15%和24%;2)钢梁稳定系数比试验数据的95%保证率的数值偏大10%~25%。经分析GB 50017—2017揭示了无制动梁的吊车梁设计的又一缺陷:钢梁稳定系数计算基于一个不可能达到的受压边缘屈服弯矩,其值偏大约15%,导致吊车梁稳定计算偏不安全。为此提出了新的稳定系数公式,并与有限元结果进行了对比,精度良好。新的稳定系数计算基于受拉侧塑性屈服达到一定深度、受压边缘刚刚屈服时的弯矩值,该弯矩小于按照弹性计算的受压边缘屈服弯矩,从而使计算结果更加合理

摘  要 

对于吊车梁,GB 50017—2017《钢结构设计标准》的设计方法中存在两个问题:1)按照GB 50017—2017的方法计算的腹板承压应力仍然比精确有限元值偏小15%和24%;2)钢梁稳定系数比试验数据的95%保证率的数值偏大10%~25%。经分析GB 50017—2017揭示了无制动梁的吊车梁设计的又一缺陷:钢梁稳定系数计算基于一个不可能达到的受压边缘屈服弯矩,其值偏大约15%,导致吊车梁稳定计算偏不安全。为此提出了新的稳定系数公式,并与有限元结果进行了对比,精度良好。新的稳定系数计算基于受拉侧塑性屈服达到一定深度、受压边缘刚刚屈服时的弯矩值,该弯矩小于按照弹性计算的受压边缘屈服弯矩,从而使计算结果更加合理。




 1

GB 50017—2017《钢结构设计标准》规定

单轴对称截面钢梁在吊车梁中应用广泛,无制动梁的吊车梁的稳定计算公式为:

肇庆联亿钢结构-肇庆钢结构-广东钢结构

式中:Mx为绕强轴弯矩;My为水平刹车力弯矩;Wx1为截面受压边缘截面模量;φb为钢梁弯扭失稳的稳定系数;f为钢材强度设计值;b1,t1分别为上翼缘宽度与厚度。

单轴对称截面钢梁的稳定系数定义如同双轴对称截面钢梁:

肇庆钢结构-肇庆联亿钢结构-钢结构公司-钢结构厂家

式中:Mu为钢梁弹塑性弯扭失稳的承载力;fy为钢材屈服强度。受拉区要进行抗拉强度验算:

肇庆联亿钢结构-肇庆钢结构-广东钢结构

式中:Wx2为受拉边缘截面模量。




 2

存在问题

单轴对称截面钢梁单向受弯时,存在图1所示三个阶段的三个分界弯矩:

1)弹性阶段,分界点1受拉边缘屈服,屈服弯矩为Mx,y2

2)仅拉侧屈服的弹塑性阶段1,分界点2受压边缘也屈服,弯矩为M'x,y1

3)拉压侧均屈服的弹塑性阶段2,塑性铰弯矩为MPx

对于无制动梁的吊车梁截面,各个弯矩存在如下的关系:

肇庆联亿钢结构-肇庆钢结构-广东钢结构

因为最大弯矩只能是塑性铰弯矩MPx,式(2)用于定义稳定系数的弯矩Mx,y1=Wx1fy是不可能达到的。因此可以认为GB 50017—2017默认采用了一个偏大的、无法达到的弯矩定义了稳定系数。

肇庆联亿钢结构-肇庆钢结构-广东钢结构

图1  单轴对称截面受弯状态及其分界点弯矩



 3

稳定系数的新定义

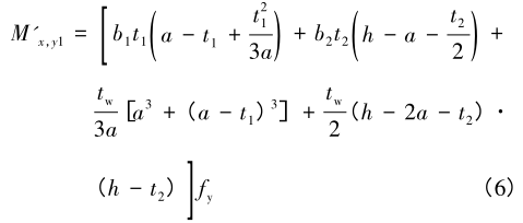
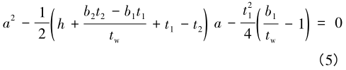
M'x,y1的计算参照图1d,利用合成轴力为0这一条件得到计算受压区深度a的方程:

肇庆联亿钢结构-肇庆钢结构-广东钢结构

然后求得M'x,y1:

肇庆钢结构-肇庆联亿钢结构-钢结构公司-钢结构厂家

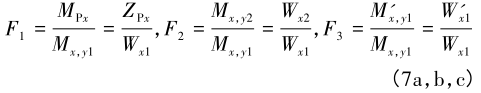
因为受压边缘截面模量Wx1计算方便,假设给予保留,稳定系数计算中要对上面揭示的问题给予考虑,因此计算各分界弯矩与Mx,y1=Wx1fy的比值:

肇庆钢结构-肇庆联亿钢结构-钢结构公司-钢结构厂家

式中:ZPx为截面塑性模量;M'x1为受压边缘屈服的弹塑性模量。

针对两根实际工程采用的、跨度分别为6m和8m的吊车梁截面,计算得到的弯矩比数据见表1。因为吊车梁的受压纤维不利用塑性,所以是受压承载力的上限,系数F3分别为0.853,0.842。受拉区屈服弯矩的比值F2更小,由式(3)单独控制,与稳定计算关系不大。对吊车梁更不能利用塑性铰弯矩,所以F1(0.885,0.874)也不考虑,需要重视的是比值F3

表1  两个实际工程的单轴对称截面吊车梁的分界弯矩比

肇庆联亿钢结构-肇庆钢结构-广东钢结构

顺便指出,这两个实例按照受压边缘屈服弯矩计算的正则化长细比为0.981和1.084,正处于稳定系数偏大最多的区域。定义两种稳定系数和两种长细比如下:

肇庆钢结构-肇庆联亿钢结构-钢结构公司-钢结构厂家构-佛山钢结构-云浮钢结构

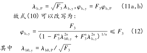
采用定义2, 稳定系数的变化范围为0≤φb,P≤1,与通常对稳定系数取值范围的理解相一致。但为了方便和习惯,仍需要利用受压边缘屈服弯矩Mx,y1=Wx1fy,所以要将式(8b)定义的稳定系数用φb,y表示出来。

符合通常取值范围的钢梁稳定系数可以采用修正的ECCS公式:

肇庆联亿钢结构-肇庆钢结构-广东钢结构

式中:n为决定稳定系数大小的指数;λb0,P为对应稳定系数φb,P从1.0开始减小的长细比。因为λb,Pλb,yφb,y、φb,P有如下关系:

肇庆钢结构-肇庆联亿钢结构-钢结构公司-钢结构厂家构-佛山钢结构-云浮钢结构

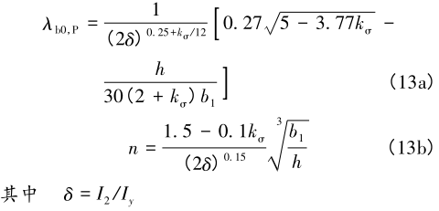
λb0,Pn的公式是通过大量有限元数值分析结果拟合得到的:

肇庆钢结构-肇庆联亿钢结构-钢结构公司-钢结构厂家

式中:I2,Iy分别为受拉翼缘和全截面绕y轴的惯性矩;kσ为弯矩线性变化时较小弯矩M2与较大弯矩M1的比值,即kσ=M2/M1对跨中承受集中荷载的简支梁,kσ=0.7;当简支梁承受关于跨中对称、间距为c的两个集中荷载时,kσ=0.7+0.6c/LL为梁跨度;δ为受拉翼缘绕弱轴惯性矩与全截面绕弱轴惯性矩的比值。



 4

有限元验证

取上翼缘初始侧向弯曲为L/1000,初始扭转由屈曲波形确定,焊接残余应力曲线为抛物线型,最大残余拉应力为fy。24种单轴对称截面钢梁(表2),高度分别为700,500,900 mm,跨中作用上翼缘集中荷载的稳定系数如图2所示。因为有限元分析无法控制塑性开展深度,所以与公式对比时F3F1替代。两个轮压作用点在轨道顶面的钢梁的稳定系数如图3所示。

表2  24组构件截面尺寸

肇庆联亿钢结构-肇庆钢结构-广东钢结构

式(13a,b)引入了截面的宽高比这个参数,从图2和图3可见,这组公式对不同宽高比的截面和不同荷载作用点高度的单轴对称截面钢梁有良好的精度。

肇庆钢结构-肇庆联亿钢结构-钢结构公司-钢结构厂家构-佛山钢结构-云浮钢结构

图2  单轴对称截面钢梁的稳定系数

肇庆钢结构-肇庆联亿钢结构-钢结构公司-钢结构厂家构-佛山钢结构-云浮钢结构

图3  两点荷载作用在轨道顶面的钢梁稳定系数对比



 5

结 论

对于吊车梁,GB 50017—2017的设计方法仍存在问题,其中有:1)GB 50017—2017的方法计算的吊车梁腹板承压应力仍然偏小15%和24%;2)钢梁稳定系数偏大。本文揭示了无制动梁的吊车梁设计的又一缺陷:钢梁稳定系数计算基于一个偏大的、不可能达到的受压边缘屈服弯矩。实际吊车梁计算表明,该弯矩偏大程度约为15%,从而使得式(1)的第1项进一步偏小。本文提出了新的适用于吊车梁设计的极限弯矩:受拉区屈服已经达到一定深度、受压边缘刚刚屈服的状态对应的弯矩,并给出了该弯矩的计算公式。以此弯矩定义钢梁稳定系数,并作为稳定计算的依据,提出了新的钢梁稳定系数计算公式。

作为一个临时、近似的措施,按照GB 50017—2017设计(公式不变,稳定系数不变),式(1)中第1项应至少除以不大于0.85/1.1=0.77的系数,如果钢梁处在正则化长细比1.0附近,宜除以0.7。对于设置了制动桁架的吊车梁,在受压翼缘的强度计算中的第1项同样应除以F3


双击此处添加文字
肇庆联亿钢结构工程有限公司
联系人:黄先生
电话:18938314188
邮  箱:77132440@qq.com
网  址:http://www.zqlianyi.cn/
地 址:肇庆市端州区光大锦锈山河