肇庆联亿钢结构工程有限公司
肇庆钢结构-云浮钢结构-佛山钢结构-广州钢结构-东莞钢结构-江门钢结构-广东钢结构工程设计、制造、安装集成商。
全国服务热线:
18938314188

Zhaoqing Lianyi Steel Structure Engineering Co. Ltd


X
新闻中心
/
新闻中心
从赛格大厦晃动事件,引发高层建筑钢结构设计中风荷载计设计的深度思考
来源: | 作者:钢铁搬运工 | 发布时间: 2021-06-14 | 392 次浏览 | 分享到:
自5月18日大厦晃动事件发生后,深圳气象局和应急管理局先后辟谣了“地震说”“风力说”。对于是否是区域内强风导致的楼体摇晃,深圳气象局明确回复称:当天监测到的赛格大厦片区风力仅有5级,未达到平均风力达6级以上、阵风7级以上的大风预警标准。,应该可以排除风荷载的影响。受此次事件影响,行内对风荷载的设计及计算提高到一个新的高度。

 从赛格大厦晃动事件,引发高层建筑钢结构设计中风荷载计设计的深度思考

     前一段时间深圳第四高楼——赛格大厦因楼体三日三次晃动而又查不清晃动原因,正在面临被封楼的局面。公开资料显示,赛格大厦高355.8米,总建筑层79层,地上75层,地下4层,总建筑面积达17万平方米 ,1999年建成完工,是深圳华强北的地标性建筑,是目前世界最高的钢管混凝土结构大厦。事件发生后曾经有专家在接受深圳卫视&壹深圳客户端记者采访时分析,此次赛格大厦产生晃动,排除了地震的因素后,比较大的可能是因为刮风引发大楼产生了共振,情况类似去年虎门大桥发生晃动的情况。但自5月18日大厦晃动事件发生后,深圳气象局和应急管理局先后辟谣了“地震说”“风力说”。对于是否是区域内强风导致的楼体摇晃,深圳气象局明确回复称:当天监测到的赛格大厦片区风力仅有5级,未达到平均风力达6级以上、阵风7级以上的大风预警标准。,应该可以排除风荷载的影响。受此次事件影响,行内对风荷载的设计及计算提高到一个新的高度。众所周知高层结构设计要确保结构在风荷载作用下具有足够的抵抗变形能力和承载能力,保证结构在风荷载作用下的安全性。同时,高层建筑物在风荷载作用下将产生振动,过大的振动加速度将使在高楼内居住的人们感觉不舒适,因此高层建筑结构应具有良好的使用条件,满足舒适度的要求。下面肇庆钢结构云浮钢结构佛山钢结构小编就来科普一下相关的技术要点、常见问题及处理方法,希望对肇庆、佛山、云浮等地区钢结构工程风荷载的设计及计算有所帮助。
肇庆联亿钢结构-肇庆钢结构-赛格钢管束大厦图片

一、技术要点

1、等效静态风荷载
一般作用在建筑物上的风包括平均风和脉动风。其中平均风是风荷载的长周期部分作用在建筑物上,其周期常在10min以上,可认为是作用在建筑物上的静荷载,因为其周期与建筑物的自振周期相差较远;脉动风则是短周期部分作用在建筑物上,其脉动的周期很短,一般只有几秒,其作用可以被认为是作用在建筑物上随机的动荷载,因为其周期与建筑物的自振周期比较接近。
作用在建筑结构上的风荷载除了平均风和脉动风产生的平均风力和脉动风力,还有风振产生的惯性力。平均风力、脉动风力和惯性力组合得到最终的等效静态风荷载。
肇庆联亿钢结构-肇庆钢结构-钢管束施工现场图
(1)惯性力
根据高频动态天平试验结果,可以求出高层建筑底部的平均风力(包含力矩和剪力)和脉动风力,在给出高层建筑结构参数的情况下,可以计算出位移和加速度响应,由共振加速度可以进一步求出惯性力。惯性力是由振动产生的,由加速度和质量决定,沿高度分布惯性力均方根σaf(z)表达式为:
σaf(z)=m(z)σa(z)(1.1-1)
上式中m(z)为沿高度的质量,σaf(z)为沿高度的加速度。
(2)平均风力和脉动风力
空气来流沿高层建筑高度分布的风力可通过下式表达:
肇庆联亿钢结构-肇庆钢结构-广东钢结构高层风力表达图



一般来说,脉动风速相对于平均风速是小量,忽略二阶小量,即可得到沿高度分布的平均风力和脉动风力分别如下:
肇庆联亿钢结构-肇庆钢结构-广东钢结构平均风力和脉动风力计算式图

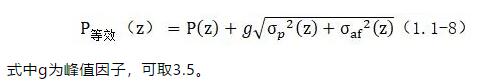
(3)等效静态风荷载
沿高度分布的等效静态风荷载由下式给出:
肇庆联亿钢结构-肇庆钢结构-广东钢结构等效静态风荷载计算式图
2、结构体型系数
对于普通的高层结构,结构体型系数一般按《建筑结构荷载规范》(GB 50009-2012)表8.3.1和《高层建筑混凝土结构技术规程》(JGJ3-2010)第4.2.3条取包络值。
需要更细致进行风荷载计算的建筑可由风洞试验确定。
风洞试验中各点的风压系数的计算公式如下:
肇庆联亿钢结构-肇庆钢结构-广东钢结构风压系数图

为参考点和i点的风压高度变化系数,根据《建筑结构荷载规范》(GB 50009-2012)8.2取值。
以270m高的某框架核心筒结构的体型系数为例,从图1.21可知,结构不同高度的体型系数不同,高度越高,体型系数越大,体型系数从底部的0.6增大至顶部的1.6。
肇庆联亿钢结构-肇庆钢结构-广东钢结构体型系数表
图1.21 某高层结构体型系数
3、结构风振系数
对于普通的建筑结构,风振系数可按《建筑结构荷载规范》(GB 50009-2012)式(8.4.3)计算;
对平面形状或立面形状复杂,立面开洞或连体建筑的风振系数可按风洞试验确定。时域法的步骤是:
(1)通过风洞试验或模拟获得结构表面风压时程,利用有限元软件对结构进行建模,将风压荷载力时程Fi作用在表面节点上:
肇庆联亿钢结构-肇庆钢结构-广东钢结构表面风压计算图


(2)进行时程计算分析,可得结构各个节点的位移时程响应,结构风振系数计算公式为:β=Ra/Rd(1.3-2)
式中,Rd为平均风产生的静位移,Ra为风荷载作用下结构的总响应。

二、常见问题及处理方法


1、基本周期
计算风荷载时输入的结构基本周期需根据结构特征值计算的实际周期取值,否则会影响风计算结果的准确性。
以14层框架结构为例,计算风荷载时软件默认的结构基本周期为0.2s,实际结构的基本周期为0.7s。基本周期按0.2s输入得到的X向剪力3524kN,基本周期按0.7s输入得到的X向剪力3689kN,剪力偏小4.5%,导致结构偏于不安全。
2、地震组合
YJK软件缺省设置的参数是风荷载不参与地震组合,对于高度大于60m建筑,应勾选风荷载参与地震组合,否则会导致结构偏于不安全。
3、局部风控构件
对于风控的建筑结构,风荷载的增加或减少对结构构件的承载力影响较大,比如斜屋面、屋顶构架层、顶部广告牌等需考虑风荷载对结构的影响。
4、山地建筑的风压高度变化系数取值
根据《建筑结构荷载规范》(GB 50009-2012)第8.2.2条,山地建筑应考虑地形条件的修正,对于山峰和山坡,修正系数应按式8.2.2计算;对于山间盆地,谷地等闭塞地形,修正系数可在0.75~0.85选取;对于与风向一致的谷口,山口,修正系数可在1.20~1.50选取。
5、风压取值
在某些地区,不同规范给出的基本风压会不一致。比如不同规范对广州南沙的基本风压规定见表2-1。从表2-1可知,不同规范确定的广州南沙的基本风压相差较大,但从风压分布图看南沙的基本风压在0.6kN/㎡与0.65kN/㎡之间,综合判断认为对于普通的多层结构基本风压可取0.6kN/㎡,对于高层结构基本风压可取0.65kN/㎡。因此当地方标准的基本风压高于国家标准的基本风压时,宜按地方标准的基本风压执行。
表2-1广州南沙的基本风压
肇庆联亿钢结构-肇庆钢结构-广东钢结构
6、规范风荷载与风洞试验风荷载对比分析(略)
可参考《高层建筑结构计算分析实用指南》。
7、结构阻尼比
风振舒适度评价中的阻尼比取值是风振下结构舒适度评价的关键问题之一。结构阻尼比的一般变化规律有:
1)结构基本周期长时,阻尼比较小;
2)随着建筑高度的增加,结构阻尼比减小;
3)填充墙少的结构的阻尼比小于填充墙多的结构的阻尼比;
4)建筑结构短方向阻尼比小于长方向的阻尼比;
5)小振幅时的阻尼比小于大振幅时的阻尼比;
6)小应力水平下的阻尼比小于大应力水平下的阻尼比。
风振舒适度问题涉及的结构一般是高度高,基本周期长,而且风作用下振幅小、应力水平也比较低,因此风振舒适度评价时所采用的阻尼比远小于常规结构强度计算时采用的阻尼比。图21为某高层结构采用不同阻尼比计算的楼层剪力,由图可知,阻尼比越大,楼层剪力越小,当阻尼比增大一倍时,楼层剪力减小约6%。
肇庆联亿钢结构-肇庆钢结构-广东钢结构高层结构采用不同阻尼比计算的楼层剪力结果图

8、地面粗糙度对结构变形的影响
地面粗糙度是描述该地面上不规则障碍物分布状况的等级,地面粗糙度对结构整形性能影响很大,图22为不同地面粗糙度类别的层间位移角,从图可知,地面粗糙度越大,层间位移角越小,B级粗糙度比A级粗糙度变形小约10%,C级粗糙度比B级粗糙度变形小约20%,D级粗糙度比C级粗糙度变形小约25%。

9、连梁刚度折减问题
根据《高层建筑混凝土结构技术规程》(JGJ3-2010)第5.2.1条文说明,“仅在计算地震作用效应时可以对连梁刚度进行折减,对如重力荷载、风荷载作用效应计算不宜考虑连梁刚度折减。有地震作用效应组合工况,均可按考虑连梁刚度折减后计算的地震作用效应参与组合”。
相对于地震作用来说,风力作用持续时间较长,往往达几十分钟,甚至几个小时,因此不能要求连梁通过塑性变形将内力转移到其他尚未屈服的构件上。结构计算时刚度折减愈多,就意味着风荷载作用下裂缝可开展得愈大,如发生强大阵风时,连梁塑性铰会过早出现,原结构的联肢墙刚度出现较大削弱,甚至成为各个独立的单肢墙受力。在长时间的风荷作用下,这无疑对建筑结构安全是很不利的。故而为了避免连梁在风荷载作用下裂缝开展过早过大,刚度折减系数应取较大值。
根据各种不同荷载作用下取不同刚度折减系数的方法,在地震荷载作用下,连梁刚度折减系数可取0.5~0.8;在风荷载作用下,折减系数可取0.80~1.0;在竖向荷载作用下,折减系数取1.0(即不折减)。
双击此处添加文字
肇庆联亿钢结构工程有限公司
联系人:黄先生
电话:18938314188
邮  箱:77132440@qq.com
网  址:http://www.zqlianyi.cn/
地 址:肇庆市端州区光大锦锈山河