肇庆联亿钢结构工程有限公司
肇庆钢结构-云浮钢结构-佛山钢结构-广州钢结构-东莞钢结构-江门钢结构-广东钢结构工程设计、制造、安装集成商。
全国服务热线:
18938314188

Zhaoqing Lianyi Steel Structure Engineering Co. Ltd


X
新闻中心
/
新闻中心
双钢板混凝土组合结构抗冲击性能的研究进展
来源: | 作者:联亿钢构 | 发布时间: 2021-09-18 | 669 次浏览 | 分享到:
双钢板混凝土组合结构主要由双层钢板和内填混凝土组成,在核电厂房、高层建筑、防护结构等工程领域中得到了广泛应用。这种结构充分发挥了混凝土和钢材的材料特性:在荷载作用下,内部混凝土处于三向应力状态,强度和塑性得以提高;外侧钢板在连接件的拉结和混凝土的支撑下,不会过早发生屈曲。

双钢板混凝土组合结构抗冲击性能的研究进展


引  言 

双钢板混凝土组合结构主要由双层钢板和内填混凝土组成,在核电厂房、高层建筑、防护结构等工程领域中得到了广泛应用。这种结构充分发挥了混凝土和钢材的材料特性:在荷载作用下,内部混凝土处于三向应力状态,强度和塑性得以提高;外侧钢板在连接件的拉结和混凝土的支撑下,不会过早发生屈曲。


除承担各种静力荷载(恒荷载和活荷载)以及风荷载和地震作用等外,结构在服役期间还可能承受意外冲击的作用。例如,船舶、浮冰等对海上平台的撞击;汽车对桥梁墩柱的撞击;飞机对高层建筑物的撞击;高压容器破裂产生的流体喷射和反作用力对结构的冲击等。如果在设计中对此类强动力特性的冲击问题没有予以充分考虑,结构很可能在服役期间发生损伤,甚至突然破坏,造成人员和财产的巨大损失。


目前,各国现有的设计规范或规程主要针对SC结构的抗震设计,如日本JEAC 4618—2009 、韩国KEPIC—SNG、美国AISC N690s1—15和中国GB/T 51340—2018《核电站钢板混凝土结构技术标准》等,但很少涉及SC结构的抗冲击性能。国内外对SC结构的抗冲击性能开展了一些试验研究、数值模拟和理论分析,但仍存在很多关键问题值得进一步探讨。




 1

试验研究

9·11事件发生后,假想的大型商用飞机撞击结构的问题,成为了迫在眉睫的“现实风险”。从SC结构的抗冲击设计要求来看,主要包括两个方面:其一是防止结构发生局部贯穿,其二是限制结构产生较大的整体变形。从试验方法和对应实际工况来看,目前对冲击问题的研究可以分为高速冲击和低速冲击。除了冲击物速度的影响,结构的破坏形式还与冲击物的质量、形状以及结构本身的动力学特性有关。本文从实际工况、试验方法、输入能量、结构响应、破坏机制、适用理论和设计重点等方面,定性地对低速冲击和高速冲击进行对比,见表 1。

表 1  低速冲击与高速冲击的对比

计算式|肇庆联亿钢结构-肇庆钢结构-广东钢结构

高速冲击试验

大量试验研究显示,高速冲击作用下RC结构的局部破坏形式分为3种(图1)。为了防止结构背冲击侧混凝土碎块飞射,使用钢板覆盖表面是提高结构抗冲击性能的一种有效的加固手段。通过使用结构胶或机械连接件,将钢板与RC结构连接,形成的有衬结构(steel faced concrete,简称SFC结构)具有很好的抗冲击性能。

施工现场照片|肇庆联亿钢结构-肇庆钢结构-广东钢结构

图1  冲击作用下RC结构的局部破坏模式

外侧钢板的存在使得SC结构与SFC结构十分类似,具有很好的抗冲击性能。两者的区别在于,SFC结构保留了RC结构的受力钢筋,表面钢板只用来提高结构抗冲击性能;而SC结构通常不设置受力钢筋,采用钢板代替钢筋承担荷载。因此,SC结构的早期研究也主要侧重于使用钢板代替钢筋后结构的静力性能和抗震性能,其抗冲击性能直至2005年才受到关注。

低速冲击试验

对两端约束的SFC防护墙进行落锤冲击试验(图2),研究钢板、混凝土种类和配筋对冲击性能的影响,运用有限元方法分析试验及汽车撞击中SFC防护墙的受力性能。研究结果显示:SFC墙具有很高的抗冲击能力和变形能力,混凝土材料性能对其承载力影响很小。但因未布置连接件,钢板与混凝土产生较大分离,不能很好地协同工作。

施工现场照片|肇庆联亿钢结构-肇庆钢结构-广东钢结构

图2  轴向约束的SFC板的落锤冲击试验

通过落锤冲击试验研究布置J钩型连接件的SC梁、板构件,对试件厚度、连接件直径、钢板厚度、混凝土种类和纤维含量等参数的影响进行探究(图3)。结果显示:J钩型对拉连接件有效减小了背冲击侧钢板与混凝土的分离和变形,承载力得以提高。

施工现场照片|肇庆联亿钢结构-肇庆钢结构-广东钢结构

图3  布置J钩型连接件的SC板的落锤冲击试验

对布置栓钉和对拉钢筋的SC墙进行落锤冲击试验(图 4a)、冲击后轴心受压剩余承载力试验(图4b)及数值模拟,研究冲击能量、轴向压力、钢板厚度和抗剪连接件布置等参数的影响。试验中,通过水平自平衡钢架、千斤顶和碟形弹簧对部分试件预先施加轴向压力,以考虑上部结构荷载作用对墙体抗冲击性能的影响。研究表明:SC墙在冲击作用下即使没有发生贯穿破坏,其轴心受压剩余承载力也会大幅下降;当轴压比超过0.3时,SC墙的抗冲击性能将显著降低。


计算式|肇庆联亿钢结构-肇庆钢结构-广东钢结构施工现场照片|肇庆联亿钢结构-肇庆钢结构-广东钢结构

图4  SC 墙冲击试验及剩余承载力试验




 2

数值模拟

在计算机运算能力有限的时代,实体之间的冲击过程通常采用在结构上施加随时间变化的荷载来代替。随着计算机技术的发展,计算效率不断提高,实体碰撞分析的精细建模成为可能,足尺寸的结构数值模型为实际工程项目的设计提供了重要参考依据。

据此,Bruhl等建立了LS-DYNA有限元模型,该模型能够很好地模拟RC墙和SFC墙的侵彻、钢板鼓起、穿透等破坏模式(图5)。基于此,许多学者开展了针对RC墙和SFC墙高速冲击试验的数值模拟分析。

施工现场照片|肇庆联亿钢结构-肇庆钢结构-广东钢结构

图 5  SFC墙高速冲击有限元分析结果



 3

计算方法

局部破坏计算

冲击作用下,结构在极短的时间内发生损伤,甚至贯穿破坏。对于RC结构的局部破坏,历史上有多个计算侵彻深度或防止目标穿透所需要厚度的著名经验公式, 如ACE公式(1946)、NDRC公式(1946)、Petry 公式(1950)、BRL公式(1956)、修正的NDRC公式(1966)、修正的BRL公式(1973)、Bechtel公式(1975)、Stone-Webster公式(1976)、Kar公式(1978)等。后来逐渐发展了空穴膨胀理论等解析方法和计算机辅助的数值解法,并形成了研究混凝土侵彻问题和穿甲问题的专门学科。

Bruhl等对已发表的SFC、Half-SC和SC墙的试验数据进行了总结,基于混凝土和钢板的经验公式提出了SC结构抗冲击性能的三步设计法(图6)。

计算式|肇庆联亿钢结构-肇庆钢结构-广东钢结构

图6  Bruhl等提出的三步设计法

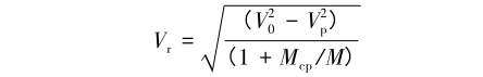
首先,根据经验公式计算出防止RC结构穿透所需要的厚度,并乘以70%的折减系数得出SC结构的厚度;然后,忽略冲击侧钢板的贡献,假定冲击下混凝土开裂面为圆锥面,冲击物与撞出的混凝土锥体以相同残余速度Vr运动;最后,计算背冲击侧钢板防止冲击锥体穿透所需要的厚度ts。该设计方法在一定程度上反映了SC结构的破坏机理,目前已被美国最新AISC N690s1—15规范建议采用。

计算式|肇庆联亿钢结构-肇庆钢结构-广东钢结构

式中:V0为冲击速度,m/s;Vp为混凝土的临界贯穿速度,m/s,可采用前述经验公式计算;Mcp为混凝土冲切锥体的质量,kg;M为冲击物的质量,kg。

计算式|肇庆联亿钢结构-肇庆钢结构-广东钢结构

式中:Vr为冲击物贯穿混凝土后的残余速度,m/s;d为冲击物的直径,m;σs为钢板的极限强度,Pa。

整体响应计算

在结构整体响应方面,工程中通常采用质量-弹簧-阻尼模型进行求解,即将具有连续质量分布的结构等效为质点、弹簧和阻尼器组成的系统。这种方法简单快速,且能得到较为准确的结果。图7给出了一种典型的等效单自由度模型,通过建立以下运动微分方程,可以求出结构的位移响应时程。

计算式|肇庆联亿钢结构-肇庆钢结构-广东钢结构

式中:m为结构的等效质量;c为结构阻尼;k为结构刚度;F(t)为冲击荷载。

计算式|肇庆联亿钢结构-肇庆钢结构-广东钢结构

图7  等效单自由度模型

在等效模型中,“等效”两个字具体体现在两个方面:一是具有连续质量分布的实际结构与模型集中质量之间的等效;二是空间任意分布的实际荷载与模型集中力之间的等效。通过保证实际结构和等效质点的动力特性相同,保证实际荷载与等效集中力的做功相等,可以求解质量等效系数和荷载等效系数,分别用以描述实际结构质量与质点质量之间的关系及实际荷载与等效集中力之间的关系。

除了正确计算等效系数,采用等效模型计算结构动力响应的另一个关键是弹簧刚度k的确定,由于在冲击问题中结构通常发生弹塑性变形,刚度随变形发展而变化,因此使用非线性的抗力-位移函数代替。通常抗力函数关系式参考相同结构在相同空间分布的准静态荷载作用下的力-位移关系确定,并适当考虑应变率效应。应当注意采用静力抗力函数的前提是结构在准静态加载下的破坏模式与冲击作用下的相同。

从以往RC结构构件的静力试验和冲击试验结果来看,对于静力加载下表现为延性弯曲破坏的构件,当加载速率增加时,由于混凝土在应力波的传播过程中发生开裂、剥落,构件的整体抗弯性能下降甚至完全丧失,进而导致构件在冲击作用下容易呈现脆性破坏,且难以通过理论方法进行计算。如果直接应用等效模型进行分析,则可能得到错误的结果。由于SC结构的外侧钢板能够有效防止混凝土崩落,因此SC结构在冲击损伤过程中能够保持很好的完整性。从现有试验研究来看,SC结构在冲击作用下与静力加载下的破坏模式相近,因此采用等效模型进行分析均得到了很好的结果。



 4

设计规范

工程结构对抗冲击性能需求的增长,在新发布的设计规范中就有所体现。美国AISC N690s1—15规范规定了SC结构在冲击作用下的材料强度提高系数(DIF)和结构延性比限值,建议采用等效单自由度法或有限单元法计算结构的动力响应,并针对局部破坏问题推荐Bruhl等提出的三步设计法。

我国最新编制的GB/T 51340—2018《核电站钢板混凝土结构技术标准》于2019年5月1日正式实施。规定了核电站SC结构需要考虑的冲击作用包括:在设计基准事故工况下因高能管道破裂而产生的喷射冲击荷载Rrj、在设计基准事故工况下因高能管道破裂而产生的撞击荷载Rrm 、龙卷风引起的飞射物撞击所产生的效应Wtm、内部飞射物引起的撞击荷载A1、外部爆炸引起的冲击波荷载A2 、外部飞射物引起的荷载A3等。要求计算结构撞击响应时应充分考虑支座以及结构连接处的反力,计算冲击时除了计算局部破坏还应计算结构响应及对相关设备的影响,并给出了一组飞机撞击的冲击力和作用面积时程曲线。



 5

关键问题

针对SC结构在冲击作用下的局部破坏,现有研究主要集中在小质量弹体的高速冲击试验研究。这方面工作开展较早,积累了一定的试验数据。结合混凝土侵彻问题和钢板穿甲问题的研究,提出的半理论半经验方法能够有效地针对SC结构在高速冲击下的局部穿透问题进行设计。

在SC结构的冲击动力响应方面,国内外学者主要通过落锤冲击试验进行研究。通过建立等效质量-弹簧-阻尼模型,能够计算得到较为准确的动力响应结果。但常用的单自由度模型只能给出结构的位移响应时程,而不能计算冲击力时程,以及接触过程中的局部破坏。为解决这一问题,可以增加一个自由度来描述SC结构和冲击物之间的接触过程。但这方面研究工作很少,值得进一步探讨:

首先,基于高速冲击试验得到的经验公式具有一定的适用范围,显然不能用于求解低速冲击下的局部破坏问题。同时,经验公式并没有给出接触力和变形之间的关系,不能描述接触的过程。

其次,为了获得等效模型的抗力函数,通常采用静力加载的力-位移关系,并适当考虑应变率效应,但常规的静力加载试验,在试件达到极限承载力发生破坏时即停止试验,很少继续关注破坏后的力学行为,也没有对加载位置处的局部变形进行观测,为局部接触的全过程和穿透破坏的分析带来困难。

最后,冲击作用下局部区域的应变率很高,需要考虑材料在高应变率下的强度提高,对于高速冲击问题,还需要考虑应力波的传播。

在求解动力响应时,另一个不可忽视的问题是SC结构在冲击作用下的破坏模式。SC结构发生整体弯曲破坏还是局部剪切破坏,关系到抗力函数采用静力加载下的曲线形式是否成立。破坏模式不仅与结构的几何参数和物理参数有关,还与加载速率有关。随着加载速率的增加,RC结构会出现破坏模式的变化,但对于SC结构还没有这方面研究工作的报道。

冲击常与火灾相伴发生,两者联合作用会对结构造成更加严重的破坏。目前,仅有钢筋混凝土构件在冲击与火灾联合作用下的相关研究,且存在不连续位移场中温度分布、多物理场耦合作用下的本构模型等关键问题尚待解决。随着单一工况下SC结构的基本理论不断完善,多灾害耦合下SC结构的受力性能或成为未来的研究热点之一。

结束语

SC结构因具有良好的力学性能而在核电工程、高层建筑、防护结构等工程中得到了广泛应用。本文简要回顾了SC结构的发展应用,从试验研究、数值模拟、计算方法和设计规范等四个方面总结了SC结构抗冲击性能的研究现状,并探讨了若干未来研究中的关键问题。研究表明SC结构具有很好的抗冲击性能和工程应用前景。随着研究的全面深入,研究人员将得出SC结构在冲击作用下的合理计算方法,为结构抗冲击设计提供参考。



双击此处添加文字
肇庆联亿钢结构工程有限公司
联系人:黄先生
电话:18938314188
邮  箱:77132440@qq.com
网  址:http://www.zqlianyi.cn/
地 址:肇庆市端州区光大锦锈山河